繁體 简体 EN
 
 
 
Home : Applications / Additives / Compounding / PP (Polypropylene) /CHISORB 944
   
  Compounding PP (Polypropylene)
   
 

 

 
Product name
CHISORB 944
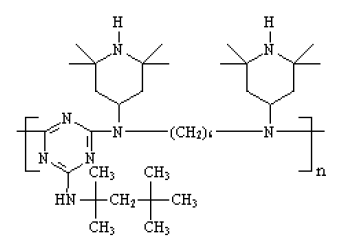
Chemical name
N,N'-bis(2,2,6,6-Tetramethyl-4- piperidinyl)-1,6-hexanediamine, polymer with 2,4,6-trichloro-1,3,5-triazine and 2,4,4-trimethyl-1,2-pentanamine
Structure
Molecular Weight
1,800 – 3,300
Appearance
Low dust light yellow granule or powder
Application
Polyolefin,PVC and ABS
   
   
   
 
     
 
Copyright © DOUBLE BOND CHEMICAL IND. CO., LTD.
Address / 4F., No.959, Zhongzheng Rd., Zhonghe Dist., New Taipei City 235, Taiwan  Tel / +886-2-8228-1168  Fax / +886-2-82281818
E-mail / dbcsales@dbc.com.tw
design by RATER