繁體
简体
EN
Home
:
Products
/
UV Curable Materials
/
Monomers
Polymer Additives
UV Curable Materials
Inkjet Printing Inks
Electronic Chemicals
Monomers
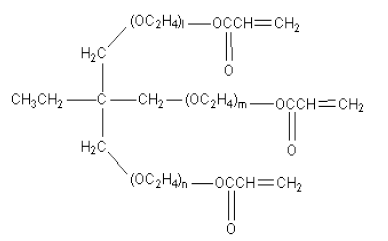
DM TMP(3EO)TA
Product name
DOUBLEMER TMP(3EO)TA
CAS No.
28961-43-5
Chemical name
Ethoxylated Trimethylolpropane Triacrylate
Structure
Appearance
Clear liquid
Application
- Good diluent
- Inks
- UV-reactive wood
- Overprint vanishes
- Paper coatings
Characteristics
- Low skin irritation
- Fast cure response
- Excellent solvency
- Good flexibility
- Low odor
Copyright © DOUBLE BOND CHEMICAL IND. CO., LTD.
Address / 4F., No.959, Zhongzheng Rd., Zhonghe Dist., New Taipei City 235601, Taiwan Tel / +886-2-8228-1168 Fax / +886-2-82281818
E-mail /
dbcsales@dbc.com.tw
design by RATER