繁體 简体 EN
 
 
 
Home : Products / UV Curable Materials / Monomers
   
  Monomers DM Di-TMPTA
   
 

 

 
Product name
DOUBLEMER Di-TMPTA
CAS No.
94108-97-1
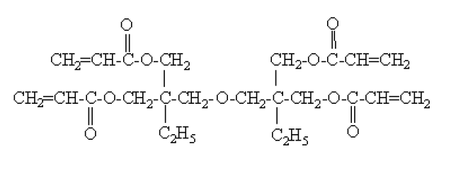
Chemical name
Di-Trimethylolpropane Tetraacrylate
Structure
Appearance
Clear liquid
Application
- Adhesives
- Coatings for metal, optical, paper, PVC floor and wood.
- Electronics for solder masks
- Inks for flexo, gravure, offset and screen
Characteristics
- Low volatility and viscosity
- High crosslinking density
- Good solvency
- High reactivity
- Low skin irritation
   
   
   
 
     
 
Copyright © DOUBLE BOND CHEMICAL IND. CO., LTD.
Address / 4F., No.959, Zhongzheng Rd., Zhonghe Dist., New Taipei City 235601, Taiwan  Tel / +886-2-8228-1168  Fax / +886-2-82281818
E-mail / dbcsales@dbc.com.tw
design by RATER