繁體 简体 EN
 
 
 
首頁 : 產品介紹 / 電子用化學品 / 雙馬來醯亞胺樹脂
   
  雙馬來醯亞胺樹脂 DBC 2300
   
   
 
產品名稱
DBC 2300
CAS No.
67784-74-1
化學名稱
芐基甲基馬來醯亞胺混合物
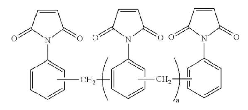
結構
外觀
黃色至土黃色粉體
熔點
60-150℃
酸價
<12 mg KOH/g
應用
1. 多層層壓板用基體樹脂原料
2. 橡膠化學品
3. 耐熱成型材料
4. 電機用耐熱清漆
5. 高壓電纜絕緣子
   
   
   
 
     
 
Copyright © 雙鍵化工股份有限公司
地址 / 新北市中和區中正路959號4樓  電話 / 02-8228-1168  傳真 / 02-82281818
E-mail / dbcsales@dbc.com.tw
design by RATER