繁體 简体 EN
 
 
 
首頁 : 產品介紹 / 光固化材料 / 光起始劑-Norrish I (裂解型)
   
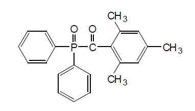
  光起始劑-Norrish I (裂解型) DOUBLECURE TPO
   
   
 
產品名稱
DOUBLECURE TPO
CAS No.
75980-60-8
化學名稱
二苯基(2,4,6-三甲基苯甲酰基)氧化膦
結構
外觀
黃色結晶粉末
應用與特性
對白色塗料、消光塗料和色漆底幹效果優異
   
   
   
 
     
 
Copyright © 雙鍵化工股份有限公司
地址 / 新北市中和區中正路959號4樓  電話 / 02-8228-1168  傳真 / 02-82281818
E-mail / dbcsales@dbc.com.tw
design by RATER